Abstract
Introduction: Patients develop anemia as a result of myelofibrosis (MF) or its treatment, including Janus kinase (JAK) inhibitors. However, momelotinib (MMB), a JAK1/2 and Activin A receptor type I (ACVR1) inhibitor with demonstrated clinical activity in MF, improved anemia in prior clinical trials. JAK1/2 and ACVR1 respond to inflammation and iron stores to control iron availability through hepcidin, the key regulator of the entry of iron into circulation. Like other inflammatory diseases, MF is characterized by high hepcidin. MMB inhibited ACVR1 to modulate hepcidin and ameliorate anemia in a rodent model (Asshoff, Blood 2017). The impact of MMB was investigated on blood hepcidin, along with markers of iron storage and availability, erythropoiesis, and inflammation to explore mechanisms of the favorable effects of MMB on MF-associated anemia.
Methods: In a phase 2 open-label study, MMB 200 mg once daily was given for 24 weeks to transfusion-dependent (TD; ≥4 units red blood cells [RBC] transfusion in the 8 weeks prior to first dose of MMB) patients with primary or post-ET/PV MF (age ≥18 yrs, required MF therapy, CrCl ≥ 60 mL/min, platelets ≥50 K, and absence of Gr ≥2 peripheral neuropathy, baseline palpable spleen was not required, patients with prior splenectomy were excluded). Patients were evaluated for MMB efficacy and safety. Total symptom score (TSS) was based on a modified Myeloproliferative Neoplasm Symptom Assessment Form. Transfusion-independent response/non-response (TI-R/NR) was defined as RBC transfusion-independence ≥12 weeks at any time on study. Serial blood samples were analyzed for a panel of biomarkers and liver iron content (LIC) was measured by MRI. Blood hepcidin was evaluated at every study visit in the morning (8-10am) pre-dose and 6 hours post-dose using a mass spectrometry assay and, prior to first dose, the normal daily increase of blood hepcidin was observed in half the population.
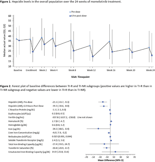
Results: 41 patients (mean age 70, 63% male, 88% white) received MMB. By week 24, 14 (34.1%, 90% CI: 22.0-48.1%) patients had a TI-R and 39.0% had no RBC transfusion for ≥8 weeks at any time (90% CI: 26.2-53.1%). Six patients (15.8%, 90% CI: 7.1-28.8%) had a ≥50% reduction from baseline to week 24 in TSS and 5 patients (12.2%, 90% CI: 4.9-23.9%) had a ≥35% reduction in spleen volume; in those patients with week 24 data, the TSS and splenic response rates were 28.6% and 19.2% respectively. TSS and spleen volume assessments were not available for 17 (44.5%) and 15 (36.6%) patients, respectively, and these patients were considered non-responders. Adverse events were consistent with previous studies of MMB in MF, with cough, diarrhea, nausea, and fatigue as the most common. AEs ≥Gr 3 were experienced by 21 patients, most commonly anemia and neutropenia. At every study visit, median blood hepcidin decreased 6 hours after dosing with MMB (Fig. 1). Daily inhibition of hepcidin did not lead to an increase in serum iron for the entire population. However, serum iron, transferrin, hemoglobin, reticulocytes, and hematocrit increased at week 2 in patients with TI-R. Following this peak, serum iron decreased while hemoglobin, hematocrit and platelet count increased through week 24. At baseline, TI-R was associated with lower hepcidin, LIC, serum iron, reduced inflammation (C-reactive protein and ferritin), and higher hematocrit, erythrocytes, reticulocytes, platelets, and hemoglobin than TI-NR (Fig. 2). In multivariable analysis, TI-R was strongly associated with baseline hemoglobin ≥8g/dL (p=0.036) and lower morning hepcidin (p=0.013), weakly associated with younger age (p=0.070) and lower DIPSS score (p=0.075), but not with gender, type of MF (primary vs post-ET/PV), spleen volume, TSS, or JAK2V617F mutation.
Conclusion: Safety findings and rate of TI-R were similar to TD MF patients in other MMB trials. Consistent with preclinical data, daily MMB treatment led to a transient decrease in blood hepcidin. In patients with TI-R, hepcidin suppression was associated with increased iron availability and markers of erythropoiesis. At baseline, TI-R associated with reduced inflammation, lower hepcidin, and increased markers of erythropoiesis and bone marrow function. Overall, the study suggests that transient modulation of hepcidin by MMB is sufficient to boost erythropoiesis in those transfusion-independent MF patients with lower baseline inflammation and greater erythropoietic potential.
Oh:Takeda: Research Funding; Janssen: Research Funding; CTI Biopharma: Research Funding; Gilead: Research Funding; Incyte: Consultancy, Membership on an entity's Board of Directors or advisory committees, Research Funding. Gerds:Celgene: Consultancy; Apexx Oncology: Consultancy; CTI Biopharma: Consultancy; Incyte: Consultancy. Gupta:Novartis: Consultancy, Honoraria, Research Funding; Incyte: Research Funding. Verstovsek:Italfarmaco: Membership on an entity's Board of Directors or advisory committees; Novartis: Membership on an entity's Board of Directors or advisory committees, Research Funding, Speakers Bureau; Incyte: Consultancy; Celgene: Membership on an entity's Board of Directors or advisory committees. Mesa:Novartis: Consultancy; Celgene: Research Funding; NS Pharma: Research Funding; Genentech: Research Funding; Incyte Corporation: Research Funding; Promedior: Research Funding; Pfizer: Research Funding; CTI Biopharma: Research Funding; Gilead: Research Funding; UT Health San Antonio - Mays Cancer Center: Employment. Miller:Gilead Sciences, Inc.: Consultancy, Research Funding; Incyte: Consultancy, Honoraria, Research Funding, Speakers Bureau; Novartis: Honoraria, Research Funding, Speakers Bureau. Heaney:Decipheral: Research Funding; Novartis: Research Funding; Blueprint: Research Funding; Incyte: Research Funding; Roche: Consultancy, Research Funding. O'Connell:Incyte: Research Funding. Arcasoy:Gilead Sciences, Inc.: Research Funding; Incyte: Research Funding; CTI BioPharma: Research Funding; Samus Therapeutics: Research Funding. Zhang:Gilead Sciences, Inc.: Employment. Kawashima:Gilead Sciences, Inc.: Employment, Equity Ownership. Ganz:Intrinsic LifeScience: Consultancy, Equity Ownership, Membership on an entity's Board of Directors or advisory committees; Silarus Pharma: Consultancy, Equity Ownership; Keryx Pharma: Consultancy, Research Funding; Akebia: Consultancy, Research Funding; Vifor: Consultancy; Gilead: Consultancy; Ablynx: Consultancy; La Jolla Pharma: Consultancy, Patents & Royalties: Patent licensed to La Jolla Pharma by UCLA. Baker Brachmann:Gilead Sciences, Inc.: Employment, Equity Ownership.
Author notes
Asterisk with author names denotes non-ASH members.

This feature is available to Subscribers Only
Sign In or Create an Account Close Modal